1. 행렬이란
행렬이란 행과 열로 구성되는 사각형 형태로 수를 배열한 것을 의미합니다.

위와 같은 형태를 행렬이라고 합니다. 이때 일반적으로 괄호를 사용하지만 대괄호[]를 사용하여 표현할 수도 있습니다.
이러한 행렬은 다양한 프로그래밍언어, 자료구조, 컴퓨터 그래픽스, 패턴인식, 로봇동작, 인공지능 등 여러가지 컴퓨터 분야에서 활용됩니다.
1) 일반행렬
일반행렬은 우리가 흔히 알고있는 행렬의 형식을 의미합니다. 정의는 'm,n이 양의 정수일 때, m개의 행과 n개의 열로 구성된 직사각형의 수 배열을 m x n 행렬이라 한다'입니다.
행렬의 원소표시는 아래처럼 합니다.

2)영행렬
행의 개수와 열의 개수와 상관없이 모든 원소가 0인 행렬을 영행렬이라고 합니다.

2. 행렬의 연산
1) 행렬의 합, 차, 스칼라곱
크기가 같은 행렬 A,B가 있고, k를 실수라고 할 때
행렬의 합은 아래와 같이 표현합니다

행렬의 차는 아래와 같이 표현합니다.

행렬의 스칼라곱은 아래와 같이 표현합니다.

이 때 크기가 같다는 말은 두 행렬의 행의 개수와 열의개수가 같다는 의미입니다.
또한 스칼라곱이란 행렬에 상수값을 곱하는 것을 의미합니다.
예컨대 상수 k=2, 행렬A = (2,4)라고 한다면 kA = (4,8)이 됩니다.
2) 행렬의 합과 스칼라곱의 연산법칙
행렬의 합과 스칼라곱은 같은 크기의 행렬 A,B,C에 대해 다음과 같은 연산법칙들을 만족합니다.
단 여기서 a,b는 실수이고 O는 모든 원소가 0인 영행렬을 의미합니다.

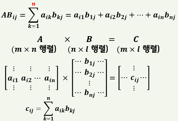
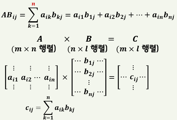
3) 행렬의 곱
A가 m x n 행렬이고 B가 n x l 행렬일 때, 행렬의 곱 AB는 (i,j)원소가 다음과 같이 정의되는 m x l 행렬입니다.
단 이때 A의 n과 B의 n은 반드시 동일해야합니다. 아래에서도 설명하겠지만 이것이 AB = BA가 성립하지 않는 이유입니다.

참고로 벡터의 내적이란 A = (a1,a2,....,an)와 B = (b1,b2,....,bn)가 n차원 벡터라고 할 때,
A와 B의 내적 A·B = a1*b1+a2*b2+....+an*bn이라고 정의합니다.
예를 들어보자면 A = (1,2,3)이고 B=(-3,0,5)일때 A·B = 1*(-3)+2*0+3*5 = 12가 됩니다.
4) 행렬 곱의 연산법칙
행렬 A,B,C가 각 연산에 적합한 크기의 행렬이라 할 때, 아래와 같은 연산법칙들을 만족합니다.
(1) A(BC) = (AB)C → 곱의 결합법칙
(2) A(B+C) = AB + AC → 곱의 분배법칙
(3) (A+B)C = AC + BC → 곱의 분배법칙
5)행렬곱 연산의 특이사항

3. 가우스소거법


1) 기본행연산

2) 일차연립방정식과 행렬의 관계

3)가우스 조르단 소거법

4)행제형 행렬
아래의 세가지 조건을 만족하는 행렬을 행사다리꼴(행제형)이라고 합니다.
첫번째 영행이 아닌 행은 영행의 위에 있어야 합니다.
두번째 영행이 아닌 행의 첫번째 0이 아닌 원소를 그 행의 선도원소라고 하는데, 모든 선도원소는 1입니다.
세번째 주어진 행의 선도원소는 그 아래 행의 선도원소보다 왼쪽에 있습니다.
5)소거 행제형 행렬
위의 조건을 만족하면서 선도원소가 포함된 열에서 선도원소를 제외한 모든원소가 0이라면 이 행렬을 소거 행제형 행렬이라고 합니다.
4. 행렬의 종류
1) 정방행렬
행과 열의 개수가 같은, 즉, n x n 행렬을 n차 정방행렬이라고 합니다. 그리고 이 n은 정방행렬의 차수라고 합니다.
n차 정방행렬은 아래와 같은 형태를 가지고 있습니다.

이 때 정방행렬의 a11,a22,a33,..,ann 원소를 주 대각원소라고 하며, 대각 원소를 포함하는 대각선을 주대각선이라고 합니다.
2)대각행렬
n차 정방행렬에서 대각원소 이외의 모든 원소가 0인 행렬을 대각행렬이라고합니다. 즉 i와 j가 다르다면 aij =0입니다.

따라서 스칼라 행렬도 대각행렬이라고 할 수 있습니다. 왜냐하면 스칼라 행렬이란 대각원소의 값이 모두 동일하면서 대각원소 이외의 모든 원소값은 0인 행렬이기 때문입니다.
3) 단위행렬
n차 정방행렬에서 대각원소가 모두 1이고 나머지 원소는 모두 0인 행렬을 단위행렬이라고 합니다.
즉 i=j이면 aij = 1이고 i와 j가 다르면 aij=0입니다.

4) 대칭행렬

5)역대칭행렬

6) 삼각행렬

7) 전치행렬

8)역행렬

5. 부울행렬
행렬의 모든 원소가 부울값(0 또는 1)으로만 구성된 행렬을 부울행렬이라고 합니다.
1) 부울행렬의 연산
부울행렬의 연산 중 합은 or 연산으로 교차는 and 연산이라고 생각하시면 됩니다.

부울곱은 아래와 같이 표현할 수 있습니다.

'CS(Computer Science) 이론 > 이산수학' 카테고리의 다른 글
| [이산수학] 함수 (0) | 2024.05.06 |
|---|---|
| [이산수학] 관계 (2) | 2024.05.05 |
| [이산수학] 집합론 (1) | 2024.05.01 |
| [이산수학] 증명 (1) | 2024.04.28 |
| [이산수학] 논리 (1) | 2024.04.28 |